1. pl
  2. en

OTRZYMAJ OFERTĘ ikona

Bluesun Solar Polska logo
facebook

@BluesunSolarPolska

telefon hurtownia fotowoltaiczna
Bluesun Solar Polska

604 053 922

kontakt hurtownia fotowoltaiczna

Sprawdź ofertę naszych partnerów strzałka

Potrzebujesz kompleksowej usługi z montażem?

ZESTAWY FOTOWOLTAICZNE

arrow left
arrow right

SPRAWDŹ RÓWNIEŻ

arrow left
arrow right

PANELE FOTOWOLTAICZNE

arrow left
arrow right

WSZYSTKIE MODELE

arrow left
arrow right

Sprawdź ceny 

Falownik fotowoltaiczny AISWEi Solplanet 6000
14 kwietnia 2021

Falownik fotowoltaiczny AISWEi Solplanet 6000T

Model: ASW6000T

Dostępność: Dostępny na magazynie

 

Falownik fotowoltaiczny AISWEi z serii Solplanet. Specjalna aplikacja AISWEi Cloud do monitorowania pracy naszej instalacji. Niezwykle cichy, poziom hałasu poniżej 15 dB.

 

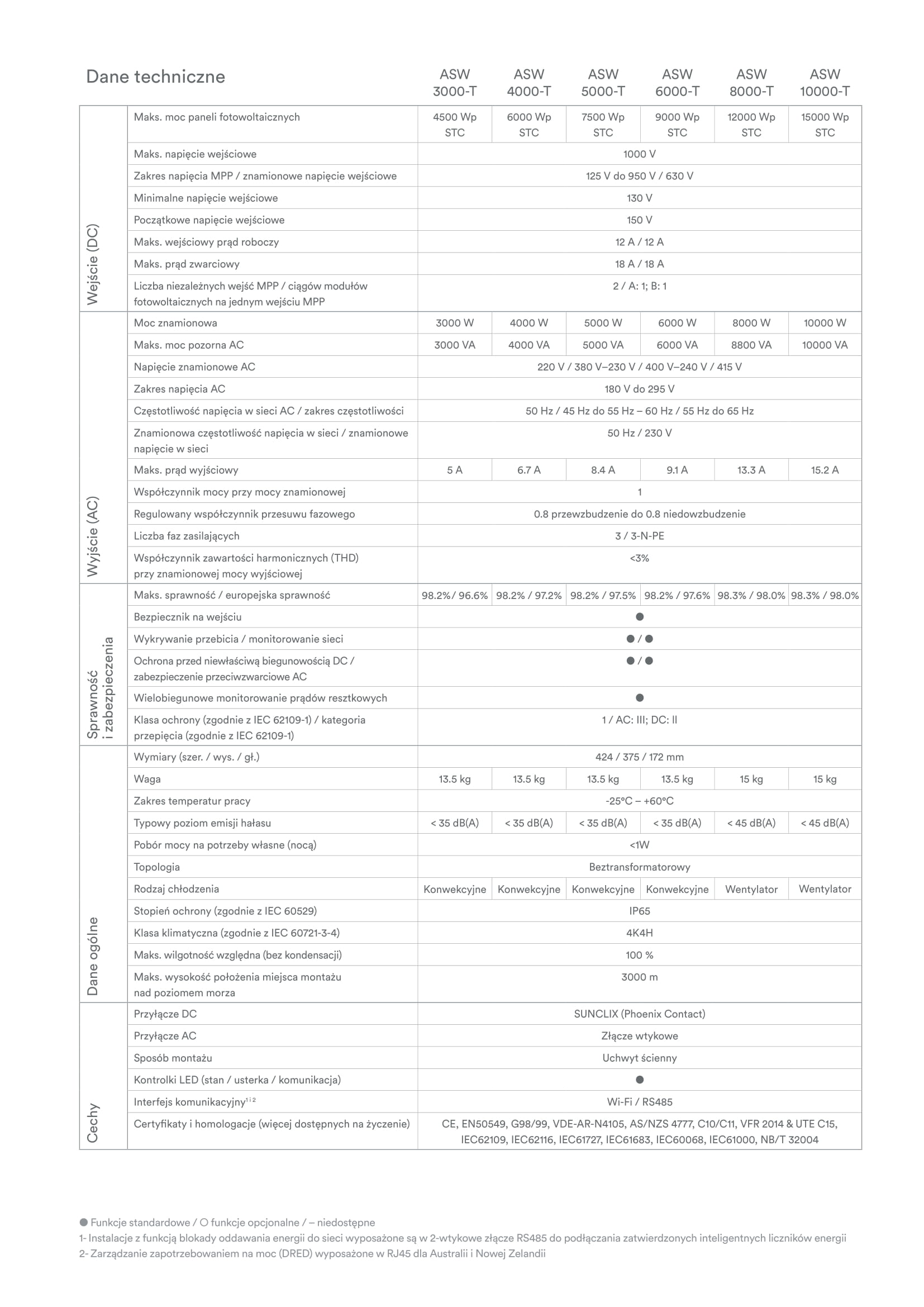
Dane techniczne

Typ inwertera: Trójfazowy

Wi-Fi: Tak

Waga: 13,5 kg

Wymiary: 424x375x172 mm

Moc znamionowa: 6 kW

Gwarancja: 10 lat

Twój dostawca

ikonka telefon   +48 787 091 176

 

 

ikonka mail  zamowienia@bluesunpv.pl

ikonka mail    reklamacje@bluesunpv.pl

ikonka mail      marketing@bluesunpv.pl

SZYBKI KONTAKT ikonka

home
Instagram Bluesun Solar Polska

Dostawa | Formy płatności

Klauzula RODO

Polityka prywatności | Polityka cookies

USŁUGI ikonka 

OGRZEWANIE ikonka 

FOTOWOLTAIKA ikonka 

NA SKRÓTY ikonka 

facebook hurtownia fotowoltaiczna

ikonka pinezka NASZA LOKALIZACJA Opolskie | Stara Kuźnia | Szkolna 7 

© Bluesun Solar Polska 2024

Bluesun Solar Polska Logo

Autoryzowany i oficjalny dystrybutor. Fotowoltaika oraz systemy grzewcze najwyższej jakości!